Lecture 01: Introduction and Foundations

PUBH 8878, Statistical Genetics

About the Instructors

Dr. Keith Crandall

Dr. Ali Rahnavard

Chiraag Gohel

Introductions

  1. Name, Degree, any other ways you like to define yourself (favorite hot dog brand, etc.)
  2. Current research focus or research interests.
  3. What you hope to get out of this course.

Course Site

https://gwcbi.github.io/StatGen/

Zotero

Course Logistics and Expectations

Grading Breakdown

Assignment Type % of Grade
Problem Sets 60%
Class Participation 20%
Research Project 20%

Total Workload: 112.5 hours (5+ hrs/week independent + 6 hrs/week class/async)

Problem Sets (60% of grade)

  • Weekly assignments blending mathematical derivations with coding
  • Collaborative time provided in class
  • Individual work required – substantial time outside class
  • Late penalty: 1% per hour (first 5 hours), then 5% per day
  • Format: Mix of theory problems and R/Bioconductor analysis

Class Participation (20% of grade)

More than just showing up!

  • Come prepared with questions from async materials
  • Engage thoughtfully in discussions and problem-solving
  • Demonstrate mastery through insightful contributions
  • Collaborate respectfully - help others understand concepts

Quantitative + Qualitative Assessment: Async responses + live session engagement

Research Project (20% of grade)

Final third of semester - Choose your own adventure!

Project Types

  • Computational methods
  • Applied analysis
  • Methodological development
  • All based on primary literature

Deliverables

  • Scientific paper (Genetics journal format)
  • Conference-style presentation
  • Groups of up to 3 encouraged
  • Individual contributions must be clear

Course Structure Overview

Foundation → Scale → Specialization (10 weeks)

  • Weeks 1-4: Foundations (Mendelian genetics, heritability, likelihood algorithms, population structure & Bayesian methods)
  • Week 5: GWAS at scale (design, linear mixed models, meta-analysis)
  • Weeks 6-7: Prediction models & multiple testing control
  • Weeks 8-9: Binary traits & causal inference (Mendelian randomization)
  • Week 10: Advanced AI topics in statistical genetics

Lab Component: Hands-on R/Bioconductor workflows parallel to lectures

Technology Setup Requirements

  • R (4.5+) and IDE installation
  • Git setup and basic commands
  • Zotero for reference management
  • Zoom
  • Optional: HPC access

Course Textbook

Sorensen (2025)

What is statistical genetics?

Population Genetics

Genetic Epidemiology

Quantitative Genetics

A statistical geneticist may want to know

  1. Is there a genetic component contributing to the total variance of these traits?
  2. Is the genetic component of the traits driven by a few genes located on a particular chromosome, or are there many genes scattered across many chromosomes? How many genes are involved and is this a scientifically sensible question?
  3. Are the genes detected protein-coding genes, or are there also noncoding genes involved in gene regulation?
  4. How is the strength of the signals captured in a statistical analysis related to the two types of genes? What fraction of the total genetic variation is allocated to both types of genes?
  5. What are the frequencies of the genes in the sample? Are the frequencies associated with the magnitude of their effects on the traits?
  6. What is the mode of action of the genes?

A statistical geneticist may want to know

  1. What proportion of the genetic variance estimated in 1 can be explained by the discovered genes?
  2. Given the information on the set of genes carried by an individual, will a genetic score constructed before observing the trait help with early diagnosis and prevention?
  3. How should the predictive ability of the score be measured?
  4. Are there other non-genetic factors that affect the traits, such as smoking behavior, alcohol consumption, blood pressure measurements, body mass index and level of physical exercise?
  5. Could the predictive ability of the genetic score be improved by incorporation of these non-genetic sources of information, either additively or considering interactions? What is the relative contribution from the different sources of information?

What does the data look like?

Family/Pedigree Studies

Family/Pedigree Studies

What does the data look like?

Genome-Wide Association Studies (GWAS)

Genome-Wide Association Studies

Core abstractions for quantitative biology

  1. Model-Building
    • Formulate generative models linking genotype, environment, and phenotype (e.g., linear mixed, Bayesian hierarchical, non-parametric kernels).
    • Encode biological structure: linkage & LD, population stratification, dominance/epistasis, multi-omics priors.
    • Balance realism and tractability to enable scalable computation on genome-scale data.

Core abstractions for quantitative biology

  1. Inference
    • Estimate unknown parameters and latent effects via likelihood maximisation, EM, MCMC, or SGD
    • Quantify uncertainty with standard errors, posterior intervals, and credible sets
    • Control false discoveries across millions of tests with FDR/Q-value, permutation, and empirical-Bayes shrinkage.

Core abstractions for quantitative biology

  1. Prediction
    • Use fitted models for out-of-sample trait prediction: BLUP/GBLUP, ridge/lasso/elastic-net, Bayesian whole-genome regressions, random forests, neural nets.
    • Evaluate accuracy (MSE, AUC), bias–variance trade-off, calibration, and portability across ancestries or cell types.
    • Translate genomic predictions into actionable scores for breeding, risk stratification, and drug-target prioritisation.

Core abstractions for quantitative biology

  1. Interpretation & Validation
    • Integrate functional annotations, eQTL, and single-cell data to refine biological mechanisms.
    • Perform replication, cross-cohort meta-analysis, and sensitivity analyses to population assumptions.
    • Communicate findings with clear visualisations and reproducible workflows (R/Bioconductor, Git, notebooks).

 

 

Early work in the field

Genetics, statistics, and eugenics, have always been closely linked

Standard eugenics scheme of descent

Francis Galton and his work, “Inquires into Human Faculty and its Development”

The ethics of genetics and genomics is/(was) of great importance!

Some vocabulary

  • Trait/Phenotype: A measurable characteristic of an organism, such as height, weight, or disease status.
  • Gene: Unit of inheritance
  • Genotype: The genetic constitution of an individual, often represented by specific alleles at particular loci.
  • Allele: A variant form of a gene that can exist at a specific locus on a chromosome.
  • Locus: A specific, fixed position on a chromosome where a particular gene or genetic marker is located.
  • Diploid: Having two sets of chromosomes (one from each parent)
  • Penetrance: Likelihood of expressing a phenotype given a genotype
  • Polymorphism: The occurrence of two or more genetically determined forms in a population, such as single nucleotide polymorphisms (SNPs) or copy number variations (CNVs).
  • Genetic Marker: A specific DNA sequence with a known location on a chromosome that can be used to identify individuals or species, often used in genetic mapping or association studies.

Some vocabulary

  • Mendelian Disease: A disease caused by a mutation in a single gene, following Mendelian inheritance patterns (dominant, recessive, X-linked).
  • Linkage Disequilibrium (LD): The non-random association of alleles at different loci, indicating that certain allele combinations occur together more frequently than expected by chance.
  • Heritability: The proportion of phenotypic variance in a trait that can be attributed to genetic variance, often estimated through twin or family studies.
  • Genome-Wide Association Study (GWAS): A study that looks for associations between genetic variants across the genome and specific traits or diseases in a large population.
  • Polygenic Score (PGS): A score that aggregates the effects of multiple genetic variants to predict an individual’s genetic predisposition to a trait or disease.
  • Quantitative Trait Locus (QTL): A region of the genome that is associated with a quantitative trait, often identified through linkage or association mapping.
  • Epistasis: The interaction between genes where the effect of one gene is modified by one or more other genes, influencing the expression of a trait.

Genetic Variant Example

Laird and Lange (2011)

Probability Refresher

Random Variables and Distributions

  • A random variable is a numerical summary of randomness (e.g., the count of (A) alleles in a sample). We will denote random variables with uppercase letters (e.g., X, Y).
  • We use a model (e.g., binomial/multinomial) to describe how data vary from sample to sample.
    • This is otherwise known as a probability mass function (pmf) for discrete variables, or a probability density function (pdf) for continuous variables
  • Key ideas:
    • Expectation (mean) and variance: long‑run average and spread.
      • E[X] = \sum x \cdot P(X = x) (discrete) or E[X] = \int x f(x) dx (continuous)
      • \textsf{Var}(X) = E[(X - E[X])^2] = E[X^2] - (E[X])^2
    • Standard error (SE): typical sampling variability of an estimator.
      • \textsf{SE} = \frac{\sigma}{\sqrt{n}} (uncertainty in sample estimates)
    • Central Limit Theorem (CLT): averages and proportions are roughly normal for large (n).
      • \bar{X} \sim N\left(\mu, \frac{\sigma^2}{n}\right) as n \to \infty

Probability Distributions vs Sampling Distributions

  • A probability distribution describes how a random variable behaves in the population.
    • Example: X \sim \textsf{Binomial}(n, p)
  • A sampling distribution describes how a statistic (e.g., sample mean, sample proportion) behaves across repeated samples from the population.
    • Example: \hat{p} \sim N\left(p, \frac{(p(1-p))}{n}\right) as n \to \infty

Probability Refresher

Key Distributions in Statistical Genetics

Binomial Distribution X \sim \textsf{Binomial}(n, p) P(X = k) = \binom{n}{k} p^k (1-p)^{n-k}

Used for: Allele counts

Normal Distribution X \sim N(\mu, \sigma^2) f(x) = \frac{1}{\sqrt{2\pi\sigma^2}} e^{-\frac{(x-\mu)^2}{2\sigma^2}}

Used for: Quantitative traits, effect sizes

Conditional Probability and Independence

  • Conditional Probability: P(A|B) = \frac{P(A \cap B)}{P(B)}
  • Bayes’ Theorem: P(A|B) = \frac{P(B|A)P(A)}{P(B)}
  • Independence: P(A \cap B) = P(A) \cdot P(B) \iff A and B are independent

Conditional probability and Bayes’ Theorem are crucial for understanding rare disease genetics! For example, consider a rare disease with a prevalence of 1 in 10,000. If a genetic test has a sensitivity of 99% and a specificity of 99%, we can use Bayes’ Theorem to calculate the probability that an individual has the disease given a positive test result.

\begin{align*} P(Disease|Positive) &= \frac{P(Positive|Disease)P(Disease)}{P(Positive)} \\ &= \frac{(0.99)(0.0001)}{(0.99)(0.0001) + (0.01)(0.9999)} \\ &\approx 0.0098 \end{align*}

Parameter Estimation

  • Imagine a geneticist is studying allele ages (i.e., how many generations ago an allele arose via mutation) under a simplified model where new mutations arise randomly and uniformly over a fixed window — say, the last \theta generations.
  • We could model X \sim \textsf{Uniform}(0, \theta).
  • We have our observed sample \{x_1,x_2, \ldots, x_n\}, ages in generations of n observed alleles.
    • For concreteness, let our sample be \{0, 1, 8, 4, 3, 7, 7, 6\}.
  • How should we estimate \theta ?

Genetic Models

  • Understanding random variables, sampling distributions, and bias/variance of estimators helps motivate biological questions, and understand how they can be answered
  • Let y be the expression of a trait, G be the additive contribution of genetic variables, and an environmental value E;
  • What assumptions do we make via the following models?

\begin{align} y &= G + E \\ y &= \beta_0 + \beta_1 G + \beta_2 E + \epsilon \\ y &= \beta_0 + \beta_1 G + \beta_2 E + \epsilon, \quad \epsilon \sim N(0, \sigma^2) \\ y &= \beta_0 + \beta_1 G + \beta_2 E + \beta_3 \left(G \times E\right) + \epsilon, \quad \epsilon \sim N(0, \sigma^2) \end{align}

 

Modeling

  • Imagine that we have a sample size of n unrelated haploid individuals from some population
  • We want to estimate allele frequencies for a biallelic SNP, say A/a
  • In our sample, we observe x individuals with allele A and n - x individuals with allele a
  • Let p be the frequency of allele A and q = 1 - p be the frequency of allele a

Pr(X = x| n, p) = \binom{n}{x} p^x q^{n - x}

  • Lets say we observe n = 27 and x = 11. How do we estimate p?

Likelihood Functions

  • The likelihood function is a function of the parameters of a statistical model, given specific observed data.

  • It represents the plausibility of different parameter values based on the observed data.

  • For a given set of data, the likelihood function is defined as: L(\theta | data) = P(data | \theta)

  • In our case, the likelihood function for p is: L(p | x = 11, n = 27) = P(X = 11 | n = 27, p) = \binom{27}{11} p^{11} (1 - p)^{16}

  • We are asking, “how likely is it that we would observe this data for different values of p?”

Maximum Likelihood Estimator

Our likelihood function for p is

L(P|x = 11, n = 27) = {27 \choose 11} p^{11} q^{27-11}

n <- 27
x <- 11
p_seq <- seq(0, 1, length.out = 200)
likelihood <- dbinom(x, n, p_seq)
plot <- ggplot(
    data.frame(p = p_seq, likelihood = likelihood),
    aes(x = p, y = likelihood)
) +
    geom_line(linewidth = 1) +
    labs(
        x = "Probability of Success (p)",
        y = "Likelihood",
        title = "Binomial Likelihood Function"
    ) +
    geom_vline(
        xintercept = x / n,
        color = "red",
        linetype = "dashed"
    ) +
    theme_light(base_size = 18) +
    theme(panel.grid = element_blank())

Modeling, but make it bayesian

  • In Bayesian statistics, we treat parameters as random variables and use probability distributions to represent our uncertainty about them.
  • We start with a prior distribution that reflects our beliefs about the parameter before seeing the data.
  • We then use the observed data to update our beliefs and obtain a posterior distribution.
  • The posterior distribution combines the information from the prior and the likelihood of the observed data using Bayes’ theorem: P(p | data) = \frac{P(data | p) P(p)}{P(data)}
  • Let’s say we have run a previous experiment and observed n = 20 individuals and x = 3 individuals with allele A (again, bilelic SNP).
  • We can use this information to inform our prior distribution for p

Modeling, but make it bayesian

p <- seq(0, 1, length.out = 1000)
# Prior (Beta distribution from previous experiment)
prior <- dbeta(p, 3 + 1, 17 + 1)
# Likelihood (Beta distribution from current data)
likelihood <- dbeta(p, 11 + 1, 16 + 1)
# Posterior (Beta distribution combining both)
posterior <- dbeta(p, 14 + 1, 33 + 1)
# Combine into a data frame
plot_data <- data.frame(
    p = rep(p, 3),
    density = c(prior, likelihood, posterior),
    type = rep(c("Prior", "Likelihood", "Posterior"), each = length(p))
)
# Add flat prior distribution
flat_prior <- dbeta(p, 1, 1)
flat_posterior <- dbeta(p, 12, 17)
plot_data <- rbind(
    plot_data,
    data.frame(
        p = rep(p, 3),
        density = c(flat_prior, likelihood, flat_posterior),
        type = rep(c("Prior", "Likelihood", "Posterior"), each = length(p))
    )
)
# Add a column to distinguish between informative and flat scenarios
plot_data$scenario <- c(rep("Informative", 3000), rep("Flat", 3000))
p1 <- ggplot(
    plot_data %>% filter(scenario == "Informative"),
    aes(x = p, y = density, color = type)
) +
    geom_line(linewidth = 2) +
    geom_vline(xintercept = 11 / 27, linetype = "dashed", color = "red") +
    labs(
        x = "Allele Frequency (p)",
        y = "Density",
        title = "Bayesian Update with Informative Prior"
    ) +
    scale_color_viridis_d() +
    theme_minimal(base_size = 15)
p2 <- ggplot(
  plot_data %>% filter(scenario == "Flat"),
  aes(x = p, y = density, color = type, linetype = type)
) +
  geom_line(linewidth = 2) +
  scale_linetype_manual(values = c("Prior" = "dotted", "Likelihood" = "solid", "Posterior" = "dashed")) +
  geom_vline(xintercept = 11 / 27, linetype = "dotdash", color = "red") +
  labs(
    x = "Allele Frequency (p)",
    y = "Density",
    title = "Bayesian Update with Flat Prior"
  ) +
  theme_minimal(base_size = 15) +
  scale_color_viridis_d() +
  annotate("text",
    x = 0.7, y = max(flat_posterior) * 0.8,
    label = "Likelihood ≈ Posterior", color = "gray30"
  )

Mendel’s Laws

Mendel’s First Law (Segregation)
One allele of each parent is randomly transmitted, with probability 1/2, to the offspring; the alleles unite randomly to form the offspring’s genotype.

Mendel’s Second Law (Independent Assortment)
At different loci, alleles are transmitted independently (when loci are unlinked).

Punnett-style diagram illustrating Mendelian segregation and independent assortment

Worked Example: Segregation (3:1 Ratio)

Cross: Aa × Aa

Punnett Square

A a
A AA Aa
a Aa aa

Expected Ratios

  • Genotypic: 1 AA : 2 Aa : 1 aa
  • Phenotypic: 3 dominant : 1 recessive
  • Probabilities: P(AA)=\frac14, P(Aa)=\frac12, P(aa)=\frac14

Test Cross Example

Proving law of segregation with a test cross

Example data:

  • Cross: Aa × aa
  • Observed: 21 dominant, 28 recessive
  • Null hypothesis: Probability of transmission is 1:1.
  • Alternative hypothesis: Probability of transmission is not 1:1.
  • How to test this?

Our question is related to observation of proportions –> use a chi-squared goodness-of-fit test or a binomial test.

Test Cross Example

observed_testcross <- c(21, 28)     # Dominant, Recessive
chisq_test <- chisq.test(observed_testcross, p = c(0.5, 0.5))
chisq_test

    Chi-squared test for given probabilities

data:  observed_testcross
X-squared = 1, df = 1, p-value = 0.3173

Testing via Simulation

We could also simulate our idea of the null hypothesis to get a sense of how extreme our observed data is.

set.seed(123)
n_sim <- 10000
N <- 49
simulated <- rbinom(n_sim, N, 0.5)
p_value_sim <- mean(simulated <= 21 | simulated >= 28)
p_value_sim
[1] 0.3868
hist(simulated, breaks = 30, main = "Simulated Test Cross Outcomes", xlab = "Number of Dominant Offspring")
abline(v = c(21, 28), col = "red", lty = 2, lwd = 2)

On Simulations

Downey (2015)

Estimation of Allele Frequencies

n_{AA} = Number of individuals with genotype AA n_{Aa} = Number of individuals with genotype Aa n_{aa} = Number of individuals with genotype aa

where, n = n_{AA} + n_{Aa} + n_{aa} = N.

The sample proportions of allele A is:

\hat{p} = \frac{2n_{AA} + n_{Aa}}{2n}

The usual standard error for a proportion is \sqrt{\hat{p}(1 - \hat{p})/2n}, but this assumes independence of the 2n sampled chromosomes.

Hardy–Weinberg Equilibrium (HWE): Assumptions

Let’s reframe the problem in terms of genotype frequencies. First, some assumptions:

  • Random mating
  • Large population (no strong drift in one generation)
  • No selection, no migration, no mutation (in the generation under study)
  • Accurate genotypes (no systematic genotyping error)

If these hold, and the allele frequency of A is p (so q = 1-p), we say that the population is in Hardy-Weinberg Equilibrium (HWE). The population genotype probabilities are:

P(AA)=p^2 \quad P(Aa)=2pq \quad P(aa)=q^2

As a consequence, the genotype frequencies in a random sample of n individuals are approximately multinomially distributed with cell probabilities (p^2, 2pq, q^2). Thus, the sampling error of \hat{p} is approximately \sqrt{p(1-p)/2n}.

This confidence interval is known as a Wald confidence interval.

Testing for HWE

  • With large samples, we can test for HWE using a chi-squared goodness-of-fit test.

Laird and Lange (2011)

HWE: Worked Example

n <- 212
n_AA <- 175
n_Aa <- 33
n_aa <- 4

# Estimate allele frequency
p_hat <- (2*n_AA + n_Aa) / (2*n)
q_hat <- 1 - p_hat
p_hat
[1] 0.9033019
# Expected counts
expected <- c(n * p_hat^2, 2*n * p_hat*q_hat, n * q_hat^2)
observed <- c(n_AA, n_Aa, n_aa)
expected
[1] 172.982311  37.035377   1.982311
# Pearson chi-squared
chisq_val <- sum((observed - expected)^2 / expected)
df <- 3 - 1 - 1
p_val <- pchisq(chisq_val, df = df, lower.tail = FALSE)
p_val
[1] 0.1126299

HWE in Practice

  • HWE is a useful null model for quality control of genotype data.
  • Deviations from HWE can indicate genotyping errors, population stratification, or selection

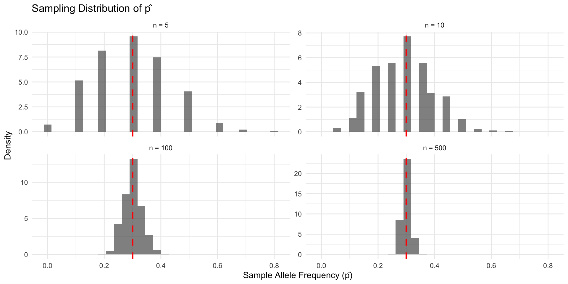
Sampling distributions: intuition via simulation

set.seed(123)
true_p <- 0.3
sample_sizes <- c(5, 10, 100, 500)
n_sims <- 1000

sampling_results <- map_dfr(sample_sizes, function(n) {
  p_hats <- replicate(n_sims, {
    # Sample n individuals (2n alleles total)
    alleles <- rbinom(n, 2, true_p)  # each individual contributes 0,1,2 A alleles
    sum(alleles) / (2 * n)           # sample allele frequency
  })
  tibble(sample_size = n, p_hat = p_hats,
         theoretical_se = sqrt(true_p * (1 - true_p) / (2 * n)))
})

Sampling distributions: intuition via simulation

# Plot sampling distributions
ggplot(sampling_results, aes(x = p_hat)) +
  geom_histogram(aes(y = after_stat(density)), bins = 30, alpha = 0.7) +
  geom_vline(xintercept = true_p, color = "red", linetype = "dashed", linewidth = 1) +
  facet_wrap(~sample_size_name, scales = "free_y") +
  labs(title = "Sampling Distribution of p̂", x = "Sample Allele Frequency (p̂)", y = "Density") +
  theme_minimal()

References

Downey,A.B. (2015) Think stats: Exploratory data analysis in python 2nd ed. O’Reilly Media, Sebastopol, CA.
Laird,N.M. and Lange,C. (2011) The fundamentals of modern statistical genetics Springer, New York, NY.
Sorensen,D. (2025) Statistical learning in genetics: An introduction using r 2nd ed. Springer, Cham.